|
|
| peteglocke |

Forum-Newbie
|
 |
Beiträge: 2
|
 |
|
 |
Anmeldedatum: 28.04.16
|
 |
|
 |
Wohnort: ---
|
 |
|
 |
Version: ---
|
 |
|
|
 |
|
Verfasst am: 28.04.2016, 21:55
Titel: QR-Zerlegung
|
 |
Hallo zusammen!
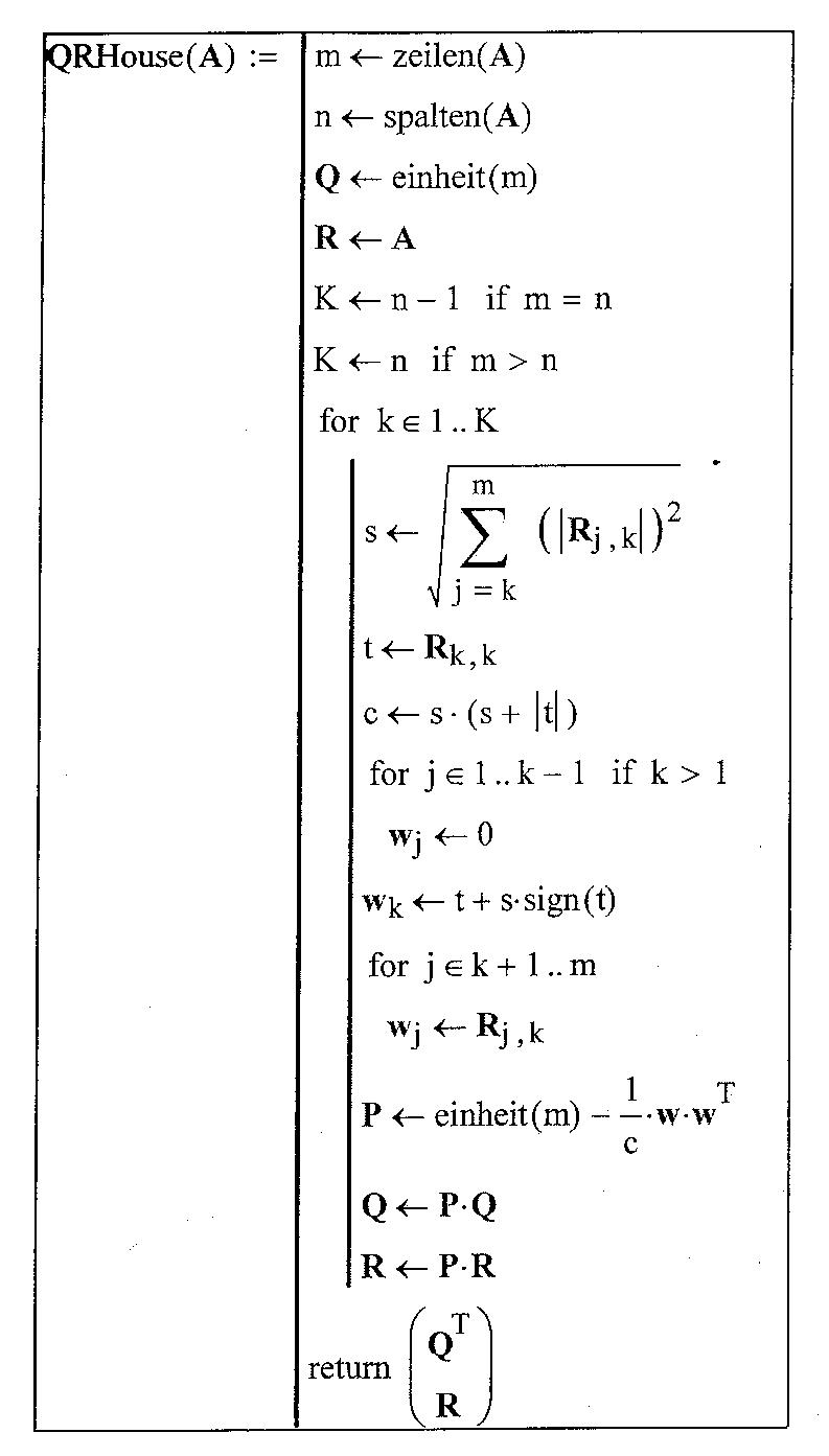
Ich möchte wie unten im Bild formuliert die Matrizen R und S bestimmen, um mit ihnen eine Matrix S~ = R-1*S aufzustellen. Am Ende möchte ich ein Gleichungssystwm lösen, wofür ich aber zunächst diese Schritte brauche.
Nun sieht aber schon T in meinen Beispielen falsch aus, sodass auch beim Erstellen von R1 und S1 (mittels for-Schleife) Probleme auftreten bzw. es nicht die gewünschten Formen annimmt...
Irgendwelche Ideen was falsch läuft?
Besten Dank!!
| Beschreibung: |
|
 Download |
| Dateiname: |
image.jpeg |
| Dateigröße: |
114.45 KB |
| Heruntergeladen: |
417 mal |
|
|
|
|
|
|
| gs |

Forum-Century
|
 |
Beiträge: 172
|
 |
|
 |
Anmeldedatum: 17.03.16
|
 |
|
 |
Wohnort: ---
|
 |
|
 |
Version: ---
|
 |
|
|
 |
|
Verfasst am: 29.04.2016, 12:49
Titel:
|
 |
|
|
|
| peteglocke |
Themenstarter

Forum-Newbie
|
 |
Beiträge: 2
|
 |
|
 |
Anmeldedatum: 28.04.16
|
 |
|
 |
Wohnort: ---
|
 |
|
 |
Version: ---
|
 |
|
|
 |
|
Verfasst am: 29.04.2016, 14:19
Titel:
|
 |
|
Danke, aber es geht weniger darum, dass ich die QR-Zerlegung programmiere, da ich den Befehl qr von Matlab benutzen darf, sondern eher darum dass ich bei der QR-Zerlegung Probleme habe, wenn rang(A) = p < min(m,n) ist, weil R dann eine pxp-Matrix sein soll, aber mir die QR-Zerlegung eine nxn-Matrix ausspuckt.
|
|
|
|
|
|
|
Einstellungen und Berechtigungen
|
|
Du kannst Beiträge in dieses Forum schreiben. Du kannst auf Beiträge in diesem Forum antworten. Du kannst deine Beiträge in diesem Forum nicht bearbeiten. Du kannst deine Beiträge in diesem Forum nicht löschen. Du kannst an Umfragen in diesem Forum nicht mitmachen. Du kannst Dateien in diesem Forum posten Du kannst Dateien in diesem Forum herunterladen
|
|
Impressum
| Nutzungsbedingungen
| Datenschutz
| FAQ
| RSS
Hosted by:
Copyright © 2007 - 2026
goMatlab.de | Dies ist keine offizielle Website der Firma The Mathworks
MATLAB, Simulink, Stateflow, Handle Graphics, Real-Time Workshop, SimBiology, SimHydraulics, SimEvents, and xPC TargetBox are registered trademarks and The MathWorks, the L-shaped membrane logo, and Embedded MATLAB are trademarks of The MathWorks, Inc.
|
|