|
|
|
Raketengleichung nach w auflösen |
|
| brau.m80 |

Forum-Anfänger
|
 |
Beiträge: 16
|
 |
|
 |
Anmeldedatum: 10.10.19
|
 |
|
 |
Wohnort: ---
|
 |
|
 |
Version: ---
|
 |
|
|
 |
|
Verfasst am: 31.01.2021, 09:46
Titel: Raketengleichung nach w auflösen
|
 |
| |
 |
|
Hallo zusammen,
ich muss eine Gleichung nach w(t) auflösen, unter der Voraussetzung, dass v(t) bekannt ist.
Von den Lösungen sind nur die reellen von Bedeutung.
Ich habe es in Matlab eingegeben, bekomme aber immer eine Fehlermeldung.
Was mache ich falsch?
Anbei der Code und die Gleichung.
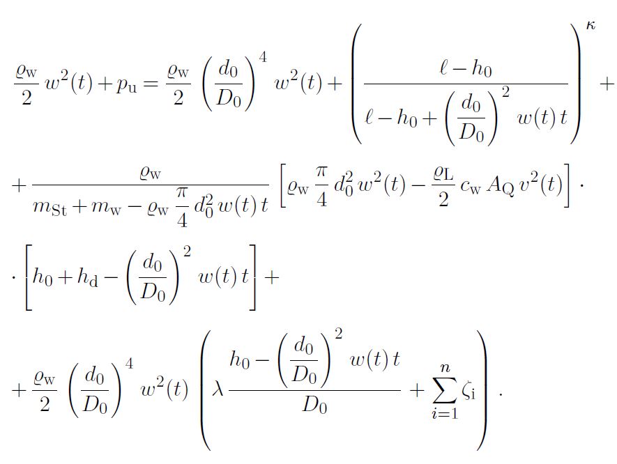
syms rho_w w(t) p_u d_0 D_0 l h_0 t kappa m_St m_w rho_L c_w A_Q v(t) h_d lambda zeta n
eqn = (rho_w / 2) * w(t)^2 + p_u == (rho_w / 2) * (d_0 / D_0)^4 * w(t)^2 + ((l - h_0) / (l - h_0 + (d_0 / D_0)^2 * w(t) * t))^kappa + (rho_w / (m_St + m_w - rho_w * (pi / 4) * d_0^2 * w(t) * t)) * (rho_w * (pi / 4) * d_0^2 * w(t)^2 - (rho_L / 2) * c_w * A_Q * v(t)^2) * (h_0 + h_d - (d_0 / D_0)^2 * w(t) * t) + (rho_w / 2) * (d_0 / D_0)^4 * w(t)^2 * (lambda * ((h_0 - (d_0 / D_0)^2 * w(t) * t) / D_0) + sum(zeta,i,1,n)) ;
solx = solve(eqn, w(t))
Vielen Dank für eure Tips
| Beschreibung: |
|
 Download |
| Dateiname: |
Gleichung_3_28.m |
| Dateigröße: |
588 Bytes |
| Heruntergeladen: |
524 mal |
| Beschreibung: |
|
 Download |
| Dateiname: |
Raketengleichung.JPG |
| Dateigröße: |
56.94 KB |
| Heruntergeladen: |
399 mal |
|
|
|
|
|
|
| Philipp68 |

Forum-Century
|
 |
Beiträge: 167
|
 |
|
 |
Anmeldedatum: 21.10.15
|
 |
|
 |
Wohnort: Mannheim / Ilmenau
|
 |
|
 |
Version: R2014a, R2017a, R2019b
|
 |
|
|
 |
|
Verfasst am: 01.02.2021, 12:56
Titel:
|
 |
Hallo,
besser wäre zu wissen, was die Fehlermeldung sagt.
Lg
|
|
|
|
| brau.m80 |
Themenstarter

Forum-Anfänger
|
 |
Beiträge: 16
|
 |
|
 |
Anmeldedatum: 10.10.19
|
 |
|
 |
Wohnort: ---
|
 |
|
 |
Version: ---
|
 |
|
|
 |
|
Verfasst am: 01.02.2021, 13:06
Titel:
|
 |
| |
 |
|
Habe es n bissl geändert:
syms rho_w w(t) p_u d_0 D_0 l h_0 t kappa m_St m_w rho_L c_w A_Q v(t) h_d lambda zeta n
syms sum_of_zeta
eqn = (rho_w / 2) * w(t)^2 + p_u == (rho_w / 2) * (d_0 / D_0)^4 * w(t)^2 + ((l - h_0) / (l - h_0 + (d_0 / D_0)^2 * w(t) * t))^kappa + (rho_w / (m_St + m_w - rho_w * (pi / 4) * d_0^2 * w(t) * t)) * (rho_w * (pi / 4) * d_0^2 * w(t)^2 - (rho_L / 2) * c_w * A_Q * v(t)^2) * (h_0 + h_d - (d_0 / D_0)^2 * w(t) * t) + (rho_w / 2) * (d_0 / D_0)^4 * w(t)^2 * (lambda * ((h_0 - (d_0 / D_0)^2 * w(t) * t) / D_0) + sum_of_zeta) ;
syms W V
eqnW = subs(eqn, w(t), W)
solw = solve(eqnW, W)
char(eqnW)
Jetzt kommt folgendes Ergebnis:
>> Gleichung_3_28
eqnW =
(rho_w*W^2)/2 + p_u == (-(h_0 - l)/(l - h_0 + (W*d_0^2*t)/D_0^2))^kappa + (rho_w*((pi*rho_w*W^2*d_0^2)/4 - (A_Q*c_w*rho_L*v(t)^2)/2)*(h_0 + h_d - (W*d_0^2*t)/D_0^2))/(m_St + m_w - (pi*W*d_0^2*rho_w*t)/4) + (W^2*d_0^4*rho_w)/(2*D_0^4) + (W^2*d_0^4*rho_w*(sum_of_zeta + (lambda*(h_0 - (W*d_0^2*t)/D_0^2))/D_0))/(2*D_0^4)
Warning: Unable to find explicit solution. For options, see help.
> In sym/solve (line 317)
In Gleichung_3_28 (line 8 )
solw =
Empty sym: 0-by-1
ans =
'p_u + (W^2*rho_w)/2 == (-(h_0 - l)/(l - h_0 + (W*d_0^2*t)/D_0^2))^kappa + (rho_w*((W^2*d_0^2*rho_w*pi)/4 - (A_Q*c_w*rho_L*v(t)^2)/2)*(h_0 + h_d - (W*d_0^2*t)/D_0^2))/(m_St + m_w - (W*d_0^2*rho_w*t*pi)/4) + (W^2*d_0^4*rho_w)/(2*D_0^4) + (W^2*d_0^4*rho_w*(sum_of_zeta + (lambda*(h_0 - (W*d_0^2*t)/D_0^2))/D_0))/(2*D_0^4)'
|
|
|
|
| Harald |

Forum-Meister
|
 |
Beiträge: 24.502
|
 |
|
 |
Anmeldedatum: 26.03.09
|
 |
|
 |
Wohnort: Nähe München
|
 |
|
 |
Version: ab 2017b
|
 |
|
|
 |
|
Verfasst am: 01.02.2021, 14:55
Titel:
|
 |
Hallo,
die Gleichung ist vielleicht einfach zu komplex.
Ich würde es mit
vpasolve
oder gleich einem komplett numerischen Ansatz, z.B. mit
fsolve
, versuchen.
Grüße,
Harald
_________________
1.) Ask MATLAB Documentation
2.) Search gomatlab.de, google.de or MATLAB Answers
3.) Ask Technical Support of MathWorks
4.) Go mad, your problem is unsolvable ;)
|
|
|
|
| Philipp68 |

Forum-Century
|
 |
Beiträge: 167
|
 |
|
 |
Anmeldedatum: 21.10.15
|
 |
|
 |
Wohnort: Mannheim / Ilmenau
|
 |
|
 |
Version: R2014a, R2017a, R2019b
|
 |
|
|
 |
|
Verfasst am: 01.02.2021, 15:09
Titel:
|
 |
|
Ich würde deine Gleichung so weit wie möglich vereinfachen und zusammenfassen (per Hand auf einem Zettel). Und dann den Funktionsteilen Variablen zuordnen zB. a = (rho_w*((pi*rho_w*W^2*d_0^2)/4 und dann eine einfache Summation der einzelnen Variablen durchführen. Man hat mehr Überblick und kann besser einzelne Teile ändern/verbessern.
|
|
|
|
|
|
|
Einstellungen und Berechtigungen
|
|
Du kannst Beiträge in dieses Forum schreiben. Du kannst auf Beiträge in diesem Forum antworten. Du kannst deine Beiträge in diesem Forum nicht bearbeiten. Du kannst deine Beiträge in diesem Forum nicht löschen. Du kannst an Umfragen in diesem Forum nicht mitmachen. Du kannst Dateien in diesem Forum posten Du kannst Dateien in diesem Forum herunterladen
|
|
Impressum
| Nutzungsbedingungen
| Datenschutz
| FAQ
| RSS
Hosted by:
Copyright © 2007 - 2026
goMatlab.de | Dies ist keine offizielle Website der Firma The Mathworks
MATLAB, Simulink, Stateflow, Handle Graphics, Real-Time Workshop, SimBiology, SimHydraulics, SimEvents, and xPC TargetBox are registered trademarks and The MathWorks, the L-shaped membrane logo, and Embedded MATLAB are trademarks of The MathWorks, Inc.
|
|