|
|
|
Rekursion einer symbolischen Funktion |
|
| Gast27 |
Gast
|
 |
Beiträge: ---
|
 |
|
 |
Anmeldedatum: ---
|
 |
|
 |
Wohnort: ---
|
 |
|
 |
Version: ---
|
 |
|
|
 |
|
Verfasst am: 21.05.2019, 10:53
Titel: Rekursion einer symbolischen Funktion
|
 |
| |
 |
|
Hallo zusammen,
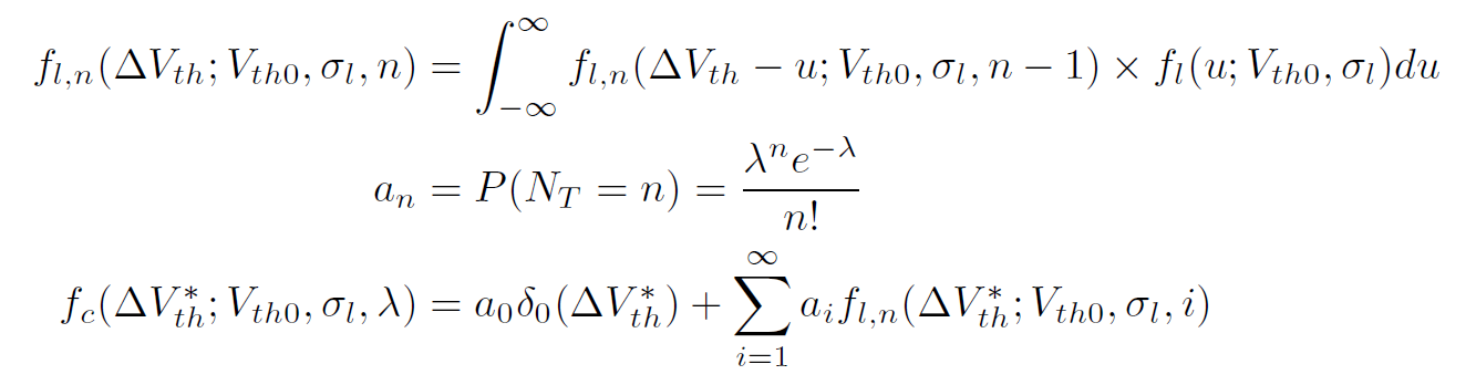
ich arbeite zurzeit mit Wahrscheinlichkeitsverteilungen und bin dabei nun auf eine Formel gestoßen, die ich nicht implementiert bekomme.
Ich habe die Funktionen mal als Bild angehangen. f_l beschreibt dabei eine logarithmische Normalverteilung und f_l,n die n-te Faltung der Funktion mit sich selbst. Heißt also, f_l,n(n=2) ist einfach eine Faltung von f_l mit sich selbst, f_l,n(n=3) die Faltung von f_l,n(n=2) mit f_l und so weiter.
Jetzt könnte ich natürlich eine Schleife implementieren, die die Funktion in jedem Durchlauf neu mit sich faltet. Und da kommen wir zu meinem Problem:
Ich brauche die Funktion hinterher für die Summe (Berechnung von f_c). Und da diese Summe bis unendlich läuft, ist eine Vorausberechnung von f_l,n für alle nötigen n ausgeschlossen. Für die Summe habe ich die Matlabfunktion symsum(f,n,1,Inf) gefunden. Für die brauche ich aber f_l,n als symbolische Funktion in Abhängigkeit von n.
Hat jemand eine Idee, wie man f definieren könnte, dass das klappt? Oder gibt es vllt eine Lösung ohne symsum? Ich wäre wirklich dankbar für jede Antwort.
LG
PS: an habe ich hier erstmal vernachlässigt, weil das einfacher zu implementieren ist. delta Vth und delta Vth* können für diesen Fall equivalent verwendet werden.
| Beschreibung: |
|
 Download |
| Dateiname: |
Funktionen.PNG |
| Dateigröße: |
35.19 KB |
| Heruntergeladen: |
352 mal |
|
|
|
|
|
|
|
|
|
Einstellungen und Berechtigungen
|
|
Du kannst Beiträge in dieses Forum schreiben. Du kannst auf Beiträge in diesem Forum antworten. Du kannst deine Beiträge in diesem Forum nicht bearbeiten. Du kannst deine Beiträge in diesem Forum nicht löschen. Du kannst an Umfragen in diesem Forum nicht mitmachen. Du kannst Dateien in diesem Forum posten Du kannst Dateien in diesem Forum herunterladen
|
|
Impressum
| Nutzungsbedingungen
| Datenschutz
| FAQ
| RSS
Hosted by:
Copyright © 2007 - 2026
goMatlab.de | Dies ist keine offizielle Website der Firma The Mathworks
MATLAB, Simulink, Stateflow, Handle Graphics, Real-Time Workshop, SimBiology, SimHydraulics, SimEvents, and xPC TargetBox are registered trademarks and The MathWorks, the L-shaped membrane logo, and Embedded MATLAB are trademarks of The MathWorks, Inc.
|
|