|
|
|
Schnittfläche und gemeinsames Volumen zweier Zylinder |
|
| Mathe1234 |
Gast
|
 |
Beiträge: ---
|
 |
|
 |
Anmeldedatum: ---
|
 |
|
 |
Wohnort: ---
|
 |
|
 |
Version: ---
|
 |
|
|
 |
|
Verfasst am: 22.07.2016, 11:56
Titel: Schnittfläche und gemeinsames Volumen zweier Zylinder
|
 |
| |
 |
|
Hallo,
ich habe folgendes Problem:
Zwei Zylinder schneiden sich unter einem beliebigen Winkel Beta (siehe Bild 1).
Der blaue Zylinder hat den Radius "R", der rote Zylinder den Radius "r". Die Achse des blauen Zylinders liegt auf der x-Achse, die des roten Zylinders auf der z-Achse.
Des Weiteren kann der rote Zylinder in Richtung der y-Achse um das Maß "a" verschoben werden (siehe Bild 2).
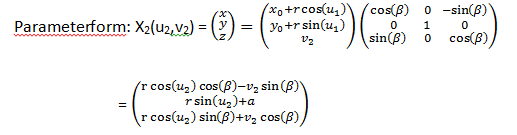
Die Darstellung der Zylinder erfolgt in Parameterdarstellung (bereits berechnet, siehe Bild "Blauer Zylinder" und Bild "Roter Zylinder")
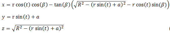
Nun soll die Schnittkurve dargestellt werden, ebenfalls bereits berechnet (siehe Bild "Schnittkurve").
Zu berechnen ist noch die Größe der durch die Schnittkurve umrandeten Fläche und das gemeinsame Volumen.
Hier komm ich leider nicht weiter, vllt kann mir da ja jemand helfen?
schon mal Danke und VG!
| Beschreibung: |
|
 Download |
| Dateiname: |
Schnittkurve.PNG |
| Dateigröße: |
4.12 KB |
| Heruntergeladen: |
901 mal |
| Beschreibung: |
|
 Download |
| Dateiname: |
Roter Zylinder.PNG |
| Dateigröße: |
6.82 KB |
| Heruntergeladen: |
954 mal |
| Beschreibung: |
|
 Download |
| Dateiname: |
Blauer Zylinder.PNG |
| Dateigröße: |
4.39 KB |
| Heruntergeladen: |
875 mal |
| Beschreibung: |
|
 Download |
| Dateiname: |
Bild2.PNG |
| Dateigröße: |
24.22 KB |
| Heruntergeladen: |
959 mal |
| Beschreibung: |
|
 Download |
| Dateiname: |
Bild1.PNG |
| Dateigröße: |
22.46 KB |
| Heruntergeladen: |
797 mal |
|
|
|
|
|
|
| Mathe1234 |
Gast
|
 |
Beiträge: ---
|
 |
|
 |
Anmeldedatum: ---
|
 |
|
 |
Wohnort: ---
|
 |
|
 |
Version: ---
|
 |
|
|
 |
|
Verfasst am: 22.07.2016, 12:50
Titel: Edit
|
 |
Zur Info:
In der Schnittkurve ist ein Fehler enthalten, u2 ist durch t zu ersetzen.
Danke.
|
|
|
|
| Mathe1234 |
Gast
|
 |
Beiträge: ---
|
 |
|
 |
Anmeldedatum: ---
|
 |
|
 |
Wohnort: ---
|
 |
|
 |
Version: ---
|
 |
|
|
 |
|
Verfasst am: 22.07.2016, 13:35
Titel: Edit
|
 |
hier die aktuelle Schnittkurve (siehe Bild) (es war noch ein Fehler drin)
und auch der der Matlab-Code:
x=r*cos(t)*cos(beta1)-tan(beta1)*((sqrt(R^2-(r*sin(t)+a).^2))-r*cos(t)*sin(beta1));
y=a+r*sin(t);
z=sqrt(R^2-(r^2*(sin(t))^2+a).^2);
| Beschreibung: |
|
 Download |
| Dateiname: |
Schnittkurve_neu.PNG |
| Dateigröße: |
4.64 KB |
| Heruntergeladen: |
922 mal |
|
|
|
|
|
|
|
Einstellungen und Berechtigungen
|
|
Du kannst Beiträge in dieses Forum schreiben. Du kannst auf Beiträge in diesem Forum antworten. Du kannst deine Beiträge in diesem Forum nicht bearbeiten. Du kannst deine Beiträge in diesem Forum nicht löschen. Du kannst an Umfragen in diesem Forum nicht mitmachen. Du kannst Dateien in diesem Forum posten Du kannst Dateien in diesem Forum herunterladen
|
|
Impressum
| Nutzungsbedingungen
| Datenschutz
| FAQ
| RSS
Hosted by:
Copyright © 2007 - 2026
goMatlab.de | Dies ist keine offizielle Website der Firma The Mathworks
MATLAB, Simulink, Stateflow, Handle Graphics, Real-Time Workshop, SimBiology, SimHydraulics, SimEvents, and xPC TargetBox are registered trademarks and The MathWorks, the L-shaped membrane logo, and Embedded MATLAB are trademarks of The MathWorks, Inc.
|
|