|
|
|
Schwingungstilger - Weg Hauptmasse und Tilger in Simulink |
|
| Kigyo |
Gast
|
 |
Beiträge: ---
|
 |
|
 |
Anmeldedatum: ---
|
 |
|
 |
Wohnort: ---
|
 |
|
 |
Version: ---
|
 |
|
|
 |
|
Verfasst am: 17.12.2017, 14:55
Titel: Schwingungstilger - Weg Hauptmasse und Tilger in Simulink
|
 |
| |
 |
|
Hallo zusammen,
ich sitze gerade vor dem folgenden Problem:
Ich habe eine Hauptstruktur, die über einen Tilger in Ruhe gehalten werden soll.
Der Tilger ist über Feder + Dämpfer mit der Hauptmasse verbunden.
Die Hauptmasse über eine Feder mit dem "Boden". Die Kraft greift an der Hauptmasse an.
Der Tilger hat eine Eigenkreisfrequenz von 35 Hz und wiegt 0,45 kg, die Hauptmasse von 80 Hz bei 3 kg. Mit 35 Hz sollte die Hauptmasse angeregt werden. Da wollte ich ein paar Szenarien durchspielen (unterschiedliche Tilgermassen hauptsächlich). Kraft irgendwas Platzhalter-mäßiges.
Aufzeichnen soll mir Simulink den Weg der beiden Massen. Der Tilger müsste ja heftig schwingen, da die Anregung mit seiner Eigenkreisfrequenz erfolgt.
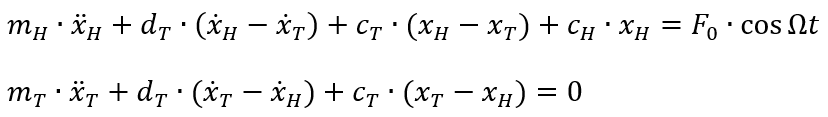
Die Gleichungen dazu habe ich mit angefügt, auch ein Bild meines bisherigen Simulink-Modells.
Leider erziele ich mit keiner Kombination eine sinnvolle Tilgerwirkung. Im Gegenteil, durch die Dämpfung (?) nimmt die Amplitude des Tilgers ab, während die der Hauptmasse nahezu konstant bleibt.
Was mache ich falsch?!
Vielen Dank im Voraus!!
| Beschreibung: |
|
 Download |
| Dateiname: |
2DOF.PNG |
| Dateigröße: |
47.08 KB |
| Heruntergeladen: |
709 mal |
| Beschreibung: |
|
 Download |
| Dateiname: |
Gleichungen.PNG |
| Dateigröße: |
8.16 KB |
| Heruntergeladen: |
699 mal |
|
|
|
|
|
|
| Heber |

Forum-Fortgeschrittener
|
 |
Beiträge: 64
|
 |
|
 |
Anmeldedatum: 01.02.17
|
 |
|
 |
Wohnort: ---
|
 |
|
 |
Version: R2013a
|
 |
|
|
 |
|
Verfasst am: 18.12.2017, 10:22
Titel:
|
 |
|
Bitte eine Skizze des Systems einfügen, dann kann ich helfen.
|
|
|
|
| Gast |
|
 |
Beiträge: ---
|
 |
|
 |
Anmeldedatum: ---
|
 |
|
 |
Wohnort: ---
|
 |
|
 |
Version: ---
|
 |
|
|
 |
|
Verfasst am: 18.12.2017, 17:17
Titel:
|
 |
Hallo,
herzlichen Dank für deine Antwort.
Folgendes System soll abgebildet werden (siehe Anhang).
Freundliche Grüße!
| Beschreibung: |
|
 Download |
| Dateiname: |
324-2.png |
| Dateigröße: |
41.36 KB |
| Heruntergeladen: |
730 mal |
|
|
|
|
| Heber |

Forum-Fortgeschrittener
|
 |
Beiträge: 64
|
 |
|
 |
Anmeldedatum: 01.02.17
|
 |
|
 |
Wohnort: ---
|
 |
|
 |
Version: R2013a
|
 |
|
|
 |
|
Verfasst am: 19.12.2017, 10:23
Titel:
|
 |
Wie sind die übrigen Parameter? Frequenz und Amplitude der angreifenden Kraft?
Was mir auffällt. Die obigen Eigenfrequenzen sind Eigenkreisfrequenzen! Mit steigender Tilgermaße nimmt Weg Hauptmasse ab. Ich würde zunächst die Resonaz betrachten und dann ein Skript schreiben der das Modell etliche Male für unterschiedliche Parameter simuliert.
Ich verstehe es aber richtig, dass die Kraft eine Störgröße ist? Oder soll mit dieser gedämpft werden?
|
|
|
|
| Gast |
|
 |
Beiträge: ---
|
 |
|
 |
Anmeldedatum: ---
|
 |
|
 |
Wohnort: ---
|
 |
|
 |
Version: ---
|
 |
|
|
 |
|
Verfasst am: 19.12.2017, 15:09
Titel:
|
 |
Hallo Heber,
ja, du hast Recht!
Da hab ich f und omega durcheinander gebracht. Die Steifigkeiten sind entsprechend auch wesentlich höher!
Die angreifende Kraft soll mit x N (Platzhalter-Wert) mit 35 Hz angreifen.
|
|
|
|
|
|
|
Einstellungen und Berechtigungen
|
|
Du kannst Beiträge in dieses Forum schreiben. Du kannst auf Beiträge in diesem Forum antworten. Du kannst deine Beiträge in diesem Forum nicht bearbeiten. Du kannst deine Beiträge in diesem Forum nicht löschen. Du kannst an Umfragen in diesem Forum nicht mitmachen. Du kannst Dateien in diesem Forum posten Du kannst Dateien in diesem Forum herunterladen
|
|
Impressum
| Nutzungsbedingungen
| Datenschutz
| FAQ
| RSS
Hosted by:
Copyright © 2007 - 2026
goMatlab.de | Dies ist keine offizielle Website der Firma The Mathworks
MATLAB, Simulink, Stateflow, Handle Graphics, Real-Time Workshop, SimBiology, SimHydraulics, SimEvents, and xPC TargetBox are registered trademarks and The MathWorks, the L-shaped membrane logo, and Embedded MATLAB are trademarks of The MathWorks, Inc.
|
|