|
|
| J.Belfort |

Forum-Newbie
|
 |
Beiträge: 2
|
 |
|
 |
Anmeldedatum: 15.04.17
|
 |
|
 |
Wohnort: ---
|
 |
|
 |
Version: ---
|
 |
|
|
 |
|
Verfasst am: 17.04.2017, 21:29
Titel: Sägezahn MATLAB plotten
|
 |
Hallo zusammen,
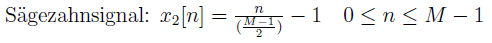
Habe eine kleine Frage, ich müsste das Signal x2[n] wie im Anhang in MATLAB plotten. Dabei soll M=25 sein und die Samplingfrequenz fs=16.000Hz.
Das Signal selbst soll 2 Sekunden lang dauern, sprich x-Achse ist die Zeit t.
Ich habe schon folgende Lösung nur habe ich keine wirkliche Idee wie ich das ganze plotten soll!
Hättet ihr ein paar Ideen?
LG Kevin
[EDITED, Jan, Bitte Code-Umgebung verwenden - Danke!]
| Beschreibung: |
|
 Download |
| Dateiname: |
Unbenannt2.PNG |
| Dateigröße: |
5.69 KB |
| Heruntergeladen: |
843 mal |
|
|
|
|
|
|
| Jan S |

Moderator
|
 |
Beiträge: 11.057
|
 |
|
 |
Anmeldedatum: 08.07.10
|
 |
|
 |
Wohnort: Heidelberg
|
 |
|
 |
Version: 2009a, 2016b
|
 |
|
|
 |
|
Verfasst am: 18.04.2017, 02:28
Titel: Re: Sägezahn MATLAB plotten
|
 |
Hallo J.Belfort,
Die Samplingfrequenz fs=16.000Hz kommt in Deinem Code noch gar nicht vor.
"x-Achse ist die Zeit t" sagt wenig, wenn "t" in den Gleichungen nicht vorkommt.
Wie wäre dies?
Gruß, Jan
|
|
|
|
| J.Belfort |
Themenstarter

Forum-Newbie
|
 |
Beiträge: 2
|
 |
|
 |
Anmeldedatum: 15.04.17
|
 |
|
 |
Wohnort: ---
|
 |
|
 |
Version: ---
|
 |
|
|
 |
|
Verfasst am: 18.04.2017, 08:00
Titel:
|
 |
Hallo Jan,
Danke für die Rückmeldung!
Habe ich bereits versucht, dabei bekomme ich eine Periode, das passt schon mal -
Die letzte Ziffer bei diesem Befehl ist quasi die Periode.
bekom
Entweder ich verwende den falschen Befehl oder ich habe irgendwo einen groben Denkfehler - weil ich nicht weiterkomme wie ich das ganze 2 Sekunden lang machen kann und dabei noch eine Frequenz von 640Hz mit einer Samplingfrequenz von 16.000Hz hinbekomme.
Du hast Recht, hier der vollständige Code
LG Kevin
|
|
|
|
|
|
|
Einstellungen und Berechtigungen
|
|
Du kannst Beiträge in dieses Forum schreiben. Du kannst auf Beiträge in diesem Forum antworten. Du kannst deine Beiträge in diesem Forum nicht bearbeiten. Du kannst deine Beiträge in diesem Forum nicht löschen. Du kannst an Umfragen in diesem Forum nicht mitmachen. Du kannst Dateien in diesem Forum posten Du kannst Dateien in diesem Forum herunterladen
|
|
Impressum
| Nutzungsbedingungen
| Datenschutz
| FAQ
| RSS
Hosted by:
Copyright © 2007 - 2026
goMatlab.de | Dies ist keine offizielle Website der Firma The Mathworks
MATLAB, Simulink, Stateflow, Handle Graphics, Real-Time Workshop, SimBiology, SimHydraulics, SimEvents, and xPC TargetBox are registered trademarks and The MathWorks, the L-shaped membrane logo, and Embedded MATLAB are trademarks of The MathWorks, Inc.
|
|