|
|
|
Simulation eines Nichtlineare Systems in Zustandsraum |
|
| baran |

Forum-Newbie
|
 |
Beiträge: 2
|
 |
|
 |
Anmeldedatum: 06.12.13
|
 |
|
 |
Wohnort: ---
|
 |
|
 |
Version: ---
|
 |
|
|
 |
|
Verfasst am: 06.12.2013, 22:54
Titel: Simulation eines Nichtlineare Systems in Zustandsraum
|
 |
Hallo,
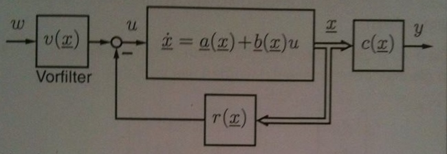
ich möchte ein Nichtlineare System in Zustandsraum simulieren. Das System sieht wie folgt aus. (in Anhang ist ein Bild von mein Modell)
x'=a(x)+b(x)u
y=c(x)
Mein Modell hat 2 Zustände (x1,x2) und 1 Eingang (u1).
Mittel Exakte Linearisierung habe ich einen Regler und ein Vorfilter entworfen.
Jetzt möchte ich den Regler in Simulink ausprobieren.Leider weiß ich nicht wie?
Ich habe mittel State Space versucht,aber wusste ich nicht wie kann ich a,b,c von Workspace in Simulink abrufen.
Gruß
| Beschreibung: |
|
 Download |
| Dateiname: |
Exakt.jpg |
| Dateigröße: |
73.11 KB |
| Heruntergeladen: |
1562 mal |
|
|
|
|
|
|
| geieraffe |

Forum-Fortgeschrittener
|
 |
Beiträge: 97
|
 |
|
 |
Anmeldedatum: 19.04.12
|
 |
|
 |
Wohnort: ---
|
 |
|
 |
Version: ---
|
 |
|
|
 |
|
Verfasst am: 09.12.2013, 09:11
Titel:
|
 |
Entweder du schusterst dir eine Strecke mit den vorhandenen Simulink-Blöcken zusammen oder du realisierst die Funktionen a(x) bzw b(x), ... etc mit Matlabfunctions.
StateFlow brauchst du dazu jeden falls nicht (unbedingt).
|
|
|
|
| cyrez |

Forum-Fortgeschrittener
|
 |
Beiträge: 81
|
 |
|
 |
Anmeldedatum: 15.09.10
|
 |
|
 |
Wohnort: Bayern
|
 |
|
 |
Version: 2020b
|
 |
|
|
 |
|
Verfasst am: 09.12.2013, 17:39
Titel:
|
 |
Dann im workspace einfach aufrufen durch
Hat das die Frage beantwortet?
|
|
|
|
| baran |
Themenstarter

Forum-Newbie
|
 |
Beiträge: 2
|
 |
|
 |
Anmeldedatum: 06.12.13
|
 |
|
 |
Wohnort: ---
|
 |
|
 |
Version: ---
|
 |
|
|
 |
|
Verfasst am: 09.12.2013, 23:49
Titel:
|
 |
Hallo,
danke für eure Antworten.
bei deine Vorschlag cyrez soll ich sagen Mein System ist Symbolisch.Der Befehl ss(A,B,C,D) funktioniert nur bei numerische Systeme.
trotzdem danke.
|
|
|
|
| geieraffe |

Forum-Fortgeschrittener
|
 |
Beiträge: 97
|
 |
|
 |
Anmeldedatum: 19.04.12
|
 |
|
 |
Wohnort: ---
|
 |
|
 |
Version: ---
|
 |
|
|
 |
|
Verfasst am: 10.12.2013, 09:57
Titel:
|
 |
So lange du dein System aber symbolisch belässt, wirst du mit Simulink nicht weit kommen.
Du kannst keine symbolischen Systeme mit Simulink simulieren, früher oder später musst du deine Parameter festlegen und dann funktioniert die Lösung von cyrez einwandfrei.
|
|
|
|
| Hansus |
Gast
|
 |
Beiträge: ---
|
 |
|
 |
Anmeldedatum: ---
|
 |
|
 |
Wohnort: ---
|
 |
|
 |
Version: ---
|
 |
|
|
 |
|
Verfasst am: 13.08.2014, 15:49
Titel:
|
 |
|
Apropos symbolisch, wenn ich z.B. ein kontinuierliches System in ein diskretes umwandeln will, kann ich das mit c2d tun. Jedoch will c2d ein sys, welches mit ss erstellt wurde. ss wiederum kann keine symbilischen Matrizen verarbeiten. Wie wandle ich mit matlab ein symbolisches kontinuierliches System in ein symbolisches diskretes System?
|
|
|
|
|
|
|
Einstellungen und Berechtigungen
|
|
Du kannst Beiträge in dieses Forum schreiben. Du kannst auf Beiträge in diesem Forum antworten. Du kannst deine Beiträge in diesem Forum nicht bearbeiten. Du kannst deine Beiträge in diesem Forum nicht löschen. Du kannst an Umfragen in diesem Forum nicht mitmachen. Du kannst Dateien in diesem Forum posten Du kannst Dateien in diesem Forum herunterladen
|
|
Impressum
| Nutzungsbedingungen
| Datenschutz
| FAQ
| RSS
Hosted by:
Copyright © 2007 - 2026
goMatlab.de | Dies ist keine offizielle Website der Firma The Mathworks
MATLAB, Simulink, Stateflow, Handle Graphics, Real-Time Workshop, SimBiology, SimHydraulics, SimEvents, and xPC TargetBox are registered trademarks and The MathWorks, the L-shaped membrane logo, and Embedded MATLAB are trademarks of The MathWorks, Inc.
|
|