|
|
| Apple2202 |

Forum-Newbie
|
 |
Beiträge: 2
|
 |
|
 |
Anmeldedatum: 06.08.22
|
 |
|
 |
Wohnort: ---
|
 |
|
 |
Version: ---
|
 |
|
|
 |
|
Verfasst am: 06.08.2022, 23:20
Titel: Simulink Integral
|
 |
| |
 |
|
Hallo liebe Forenmitglieder.
Ich habe folgendes Problem.
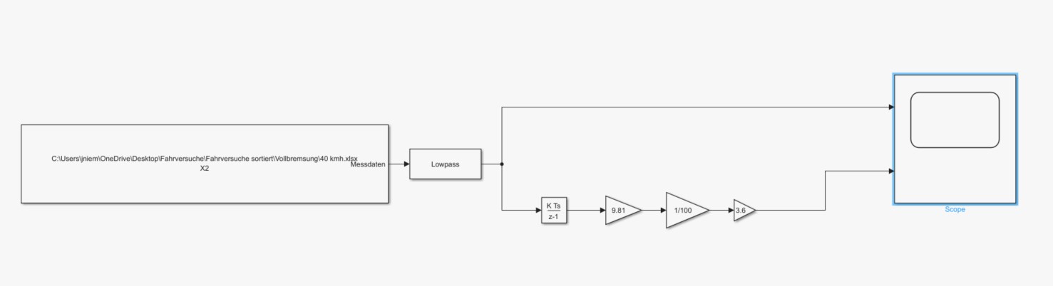
Ich habe eine Beschleunigungsmessung durchgeführt und möchte nun die Messdaten auswerten.
Im Scope habe ich im oberen Teil (a/t Diagramm) die Messdaten des Beschleunigungssensors (gemessen in g).
Darunter habe ich die Geschwindigkeit durch Integration abbilden lassen (v/t Diagramm).
Da die Messdaten ein hohes Rauschen verursacht haben (100 Hz Abtastrate) habe ich diese mit einem Tiefpassfilter geglättet.
Nun zu meinem Problem.
Auf der unteren Funktionskurve (v/t Diagramm) ist ein Versatz zu sehen. Dieser resultiert höchstwahrscheinlich aus dem Einschwingverhalten des Tiefpassfilters. Es wird ein Beschleunigungswert von etwas über 0g angezeigt. Daraus resultiert, dass eine geringe Geschwindigkeitszunahme im v/t Diagramm angezeigt wird. Über die Zeit nimmt diese konstant zu. Am Ende wird dies deutlicher. Nach der Vollbremsung müsste der Geschwindigkeitswert normalerweise 0 sein. Da ich aber einen konstanten Vorfaktor habe, steigt der Wert rein theoretisch ins unendliche.
Wie schaffe ich es einen konstanten Vorfaktor in Simulink zu integrieren?
Einen schönen Abend
| Beschreibung: |
|
 Download |
| Dateiname: |
Scope Ergebnisse.jpg |
| Dateigröße: |
156.08 KB |
| Heruntergeladen: |
568 mal |
| Beschreibung: |
| Simulink Blockdarstellung |
|
 Download |
| Dateiname: |
Simulink Block.jpg |
| Dateigröße: |
30.57 KB |
| Heruntergeladen: |
577 mal |
|
|
|
|
|
|
| Harald |

Forum-Meister
|
 |
Beiträge: 24.502
|
 |
|
 |
Anmeldedatum: 26.03.09
|
 |
|
 |
Wohnort: Nähe München
|
 |
|
 |
Version: ab 2017b
|
 |
|
|
 |
|
Verfasst am: 07.08.2022, 21:15
Titel:
|
 |
Hallo,
auf den ersten Blick würde ich sagen, das Problem liegt in der Messung. Dort ist ja schon am Anfang und am Ende erkennbar, dass das Signal nicht um die 0, sondern um einen kleinen Wert herum schwingt.
Führe doch mal eine Messung ohne Bewegung aus. Dann kannst du vermutlich den Offset ermitteln. Wenn du den direkt nach Import abziehst, solltest du bessere Ergebnisse bekommen.
Bitte generell das Modell und die benötigten Daten anhängen statt Screenshots. Dann kann man auch direkt damit arbeiten und Vorschläge testen.
Grüße,
Harald
_________________
1.) Ask MATLAB Documentation
2.) Search gomatlab.de, google.de or MATLAB Answers
3.) Ask Technical Support of MathWorks
4.) Go mad, your problem is unsolvable ;)
|
|
|
|
| Apple2202 |
Themenstarter

Forum-Newbie
|
 |
Beiträge: 2
|
 |
|
 |
Anmeldedatum: 06.08.22
|
 |
|
 |
Wohnort: ---
|
 |
|
 |
Version: ---
|
 |
|
|
 |
|
Verfasst am: 08.08.2022, 14:35
Titel:
|
 |
Hallo lieber Harald, vielen Dank für deine Antwort.
Die Beschleunigung fängt ca. bei Milisekunde 2000 an. Vorher befand sich das Fahrzeug im Stillstand.
Bedeutet das für mich, dass die Werte (Mittelwert von 1 bis 2000) einen Offset darstellen?
Ich habe dies mal ausprobiert und vermute, dass das die Lösung für mein Problem war.
Ps: ich habe die Simulink Datei und die Messdaten als Matlab Datei angehangen und nicht den Screenshot, danke für den Tipp.
Viele Grüße
Flo
| Beschreibung: |
|
 Download |
| Dateiname: |
Messdaten.mat |
| Dateigröße: |
16.51 KB |
| Heruntergeladen: |
562 mal |
| Beschreibung: |
|
 Download |
| Dateiname: |
Probe.slx |
| Dateigröße: |
35.52 KB |
| Heruntergeladen: |
570 mal |
|
|
|
|
|
|
|
Einstellungen und Berechtigungen
|
|
Du kannst Beiträge in dieses Forum schreiben. Du kannst auf Beiträge in diesem Forum antworten. Du kannst deine Beiträge in diesem Forum nicht bearbeiten. Du kannst deine Beiträge in diesem Forum nicht löschen. Du kannst an Umfragen in diesem Forum nicht mitmachen. Du kannst Dateien in diesem Forum posten Du kannst Dateien in diesem Forum herunterladen
|
|
Impressum
| Nutzungsbedingungen
| Datenschutz
| FAQ
| RSS
Hosted by:
Copyright © 2007 - 2026
goMatlab.de | Dies ist keine offizielle Website der Firma The Mathworks
MATLAB, Simulink, Stateflow, Handle Graphics, Real-Time Workshop, SimBiology, SimHydraulics, SimEvents, and xPC TargetBox are registered trademarks and The MathWorks, the L-shaped membrane logo, and Embedded MATLAB are trademarks of The MathWorks, Inc.
|
|