|
|
|
singulärer Punkt extrahieren (Fingerabdruck) |
|
| RisayaKinan |

Forum-Anfänger
|
 |
Beiträge: 11
|
 |
|
 |
Anmeldedatum: 18.06.12
|
 |
|
 |
Wohnort: ---
|
 |
|
 |
Version: ---
|
 |
|
|
 |
|
Verfasst am: 19.06.2012, 16:04
Titel: singulärer Punkt extrahieren (Fingerabdruck)
|
 |
Hallo
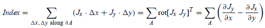
ich probiere einen singulären Punkt aus einem "directional field" eines Fingerabruckes zu extrahieren. Dazu gibts eine Formel - nur weiß ich nicht wie ich diese in Matlab umsetzten soll (sie beruht auf Green's Theorem).
Kann mir jemand einen Tipp (oder besser die Lösung ) dazu geben?
Ein Bild der Formel ist im Anhang, das ist einfacher als zu versuchen die hierhin zu schreiben.
Jx & Jy sind 512x512 Matrixen und A ist beschrieben als "is taken as a square of 1 pixel"
lg
RisayaKinan
| Beschreibung: |
|
 Download |
| Dateiname: |
Formel.PNG |
| Dateigröße: |
9.84 KB |
| Heruntergeladen: |
403 mal |
|
|
|
|
|
|
|
|
|
Einstellungen und Berechtigungen
|
|
Du kannst Beiträge in dieses Forum schreiben. Du kannst auf Beiträge in diesem Forum antworten. Du kannst deine Beiträge in diesem Forum nicht bearbeiten. Du kannst deine Beiträge in diesem Forum nicht löschen. Du kannst an Umfragen in diesem Forum nicht mitmachen. Du kannst Dateien in diesem Forum posten Du kannst Dateien in diesem Forum herunterladen
|
|
Impressum
| Nutzungsbedingungen
| Datenschutz
| FAQ
| RSS
Hosted by:
Copyright © 2007 - 2026
goMatlab.de | Dies ist keine offizielle Website der Firma The Mathworks
MATLAB, Simulink, Stateflow, Handle Graphics, Real-Time Workshop, SimBiology, SimHydraulics, SimEvents, and xPC TargetBox are registered trademarks and The MathWorks, the L-shaped membrane logo, and Embedded MATLAB are trademarks of The MathWorks, Inc.
|
|