WICHTIG: Der Betrieb von goMatlab.de wird privat finanziert fortgesetzt. - Mehr Infos...

Mein MATLAB Forum - goMatlab.de

Mein MATLAB Forum

 
Gast > Registrieren       Autologin?   

Partner:




Forum
      Option
[Erweitert]
  • Diese Seite per Mail weiterempfehlen
     


Gehe zu:  
Neues Thema eröffnen Neue Antwort erstellen

Unterschiedliche Skalierung in der x-Achse

 

Skal

Gast


Beiträge: ---
Anmeldedatum: ---
Wohnort: ---
Version: ---
     Beitrag Verfasst am: 13.12.2022, 11:43     Titel: Unterschiedliche Skalierung in der x-Achse
  Antworten mit Zitat      
Hallo zusammen,

ich würde gerne einen Plot machen, bei dem die x-Achse in verschiedene Bereiche unterteilt ist:
Zunächst von 0 bis 1 in 0.1 Schritten.
Dann von 1 bis 31 in 5er Schritten.
Und von 31 bis 131 in 25er Schritten.

Hat jemand eine Idee wie das in Matlab umsetzbar ist?

Vielen Dank und viele Grüße
Skal


Harald
Forum-Meister

Forum-Meister


Beiträge: 24.502
Anmeldedatum: 26.03.09
Wohnort: Nähe München
Version: ab 2017b
     Beitrag Verfasst am: 16.12.2022, 13:03     Titel:
  Antworten mit Zitat      
Hallo,

mir ist noch nicht klar, wie das aussehen soll.
Soll insbesondere der Abstand zwischen den genannten Werten immer gleich sein (also z.B. zwischen 0 und 0,1 sowie 0,9 und 1 sowie 31 und 56 sowie 106 und 131) oder soll das eher wie eine logarithmische Skala sein?

Hast du Datenpunkte nur an den genannten Stellen oder auch dazwischen?

Grüße,
Harald
_________________

1.) Ask MATLAB Documentation
2.) Search gomatlab.de, google.de or MATLAB Answers
3.) Ask Technical Support of MathWorks
4.) Go mad, your problem is unsolvable ;)
Private Nachricht senden Benutzer-Profile anzeigen
 
Skal

Gast


Beiträge: ---
Anmeldedatum: ---
Wohnort: ---
Version: ---
     Beitrag Verfasst am: 19.12.2022, 16:36     Titel:
  Antworten mit Zitat      
Hallo Harald,

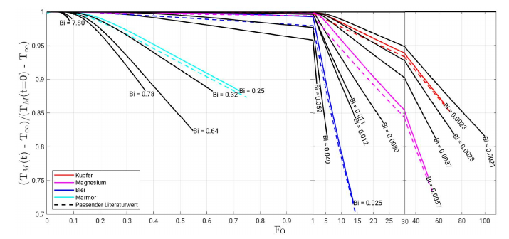
ich hab Datenpunkte für alle Werte, auch für die Zwischenwerte. Die Skalierung soll in etwa wie im Anhang aussehen.

Beste Grüße und vielen Dank,

Skal

Screenshot_20221219_152617.png
 Beschreibung:

Download
 Dateiname:  Screenshot_20221219_152617.png
 Dateigröße:  143.22 KB
 Heruntergeladen:  656 mal
 
Harald
Forum-Meister

Forum-Meister


Beiträge: 24.502
Anmeldedatum: 26.03.09
Wohnort: Nähe München
Version: ab 2017b
     Beitrag Verfasst am: 19.12.2022, 18:40     Titel:
  Antworten mit Zitat      
Hallo,

ich habe da mal was gebastelt. Im wesentlichen drei Kopien mit unterschiedlicher Ansicht:

% Default Position, abgesehen von Breite (3. Wert von Position).
Code:
clear ax
f = figure;
ax(1) = axes("Units", "normalized", "Position", [0.13 0.11 0.4 0.815], "Parent", f);
x = 0:100;
p = plot(x, 1-0.8/100*x);
xlim(ax(1), [0 1])
xticks(ax(1), 0:0.1:1)
ylim(ax(1), [0.7 1])
yticks(0.7:0.05:1)
grid
ax(1).FontSizeMode = "manual";

% Kopie des ersten Koordinatensystems inkl. Inhalt mit Anpassungen
ax(2) = copyobj(ax(1), f);
ax(2).Position = [0.13+0.4 0.11 0.2 0.815];
xlim(ax(2), [1 31])
xticks(ax(2), 5:5:30)
yticklabels(ax(2), "")

% Noch eine Kopie des ersten Koordinatensystems inkl. Inhalt mit Anpassungen
ax(3) = copyobj(ax(1), f);
ax(3).Position = [0.13+0.4+0.2 0.11 0.22 0.815];
xlim(ax(3), [31 131 ])
xticks(ax(3), 40:20:130)
yticklabels(ax(3), "")


Grüße,
Harald
_________________

1.) Ask MATLAB Documentation
2.) Search gomatlab.de, google.de or MATLAB Answers
3.) Ask Technical Support of MathWorks
4.) Go mad, your problem is unsolvable ;)
Private Nachricht senden Benutzer-Profile anzeigen
 
Skal

Gast


Beiträge: ---
Anmeldedatum: ---
Wohnort: ---
Version: ---
     Beitrag Verfasst am: 20.12.2022, 09:36     Titel:
  Antworten mit Zitat      
Hallo Harald,

vielen Dank! Genauso hatte ich mir das vorgestellt, super!

Viele Grüße und frohe Weihnachten,

Skal
 
Harald
Forum-Meister

Forum-Meister


Beiträge: 24.502
Anmeldedatum: 26.03.09
Wohnort: Nähe München
Version: ab 2017b
     Beitrag Verfasst am: 20.12.2022, 10:22     Titel:
  Antworten mit Zitat      
Hallo,

danke für die Rückmeldung. Auch dir schöne Feiertage!

Grüße,
Harald
_________________

1.) Ask MATLAB Documentation
2.) Search gomatlab.de, google.de or MATLAB Answers
3.) Ask Technical Support of MathWorks
4.) Go mad, your problem is unsolvable ;)
Private Nachricht senden Benutzer-Profile anzeigen
 
Neues Thema eröffnen Neue Antwort erstellen



Einstellungen und Berechtigungen
Beiträge der letzten Zeit anzeigen:

Du kannst Beiträge in dieses Forum schreiben.
Du kannst auf Beiträge in diesem Forum antworten.
Du kannst deine Beiträge in diesem Forum nicht bearbeiten.
Du kannst deine Beiträge in diesem Forum nicht löschen.
Du kannst an Umfragen in diesem Forum nicht mitmachen.
Du kannst Dateien in diesem Forum posten
Du kannst Dateien in diesem Forum herunterladen
.





 Impressum  | Nutzungsbedingungen  | Datenschutz | FAQ | goMatlab RSS Button RSS

Hosted by:


Copyright © 2007 - 2026 goMatlab.de | Dies ist keine offizielle Website der Firma The Mathworks

MATLAB, Simulink, Stateflow, Handle Graphics, Real-Time Workshop, SimBiology, SimHydraulics, SimEvents, and xPC TargetBox are registered trademarks and The MathWorks, the L-shaped membrane logo, and Embedded MATLAB are trademarks of The MathWorks, Inc.