|
|
|
Variable suchen und Formel plotten |
|
| fexil86 |

Forum-Newbie
|
 |
Beiträge: 2
|
 |
|
 |
Anmeldedatum: 23.08.10
|
 |
|
 |
Wohnort: ---
|
 |
|
 |
Version: ---
|
 |
|
|
 |
|
Verfasst am: 23.08.2010, 17:59
Titel: Variable suchen und Formel plotten
|
 |
Hallo zusammen,
habe ein kleines Problem.
Ich würde gerne mehrere Formeln in MATLAB hinterlegen.
Beispielsweise a=b+c.
Dann möchte ich über eine Suchfunktion die Variable a wieder auffinden und und visualisieren, dass diese sich aus b und c zusammensetzt. Die Visualisierung sollte dabei ähnlich wie ein Blockschaltbild aussehen nur ohne den mathematischen Operator.
Ich hoffe ihr konntet verstehen was ich meine.
Wäre schön, wenn jemand ne Idee zur Umsetzung hat.
Gruß fexil
|
|
|
|
|
|
| Vito |

Forum-Guru
|
 |
Beiträge: 315
|
 |
|
 |
Anmeldedatum: 02.11.09
|
 |
|
 |
Wohnort: Stuttgart
|
 |
|
 |
Version: ---
|
 |
|
|
 |
|
Verfasst am: 23.08.2010, 18:42
Titel:
|
 |
Hi,
meinst du sowas hier:
Gruß,
Vito
|
|
|
|
| fexil86 |
Themenstarter

Forum-Newbie
|
 |
Beiträge: 2
|
 |
|
 |
Anmeldedatum: 23.08.10
|
 |
|
 |
Wohnort: ---
|
 |
|
 |
Version: ---
|
 |
|
|
 |
|
Verfasst am: 24.08.2010, 10:45
Titel:
|
 |
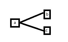
Nein so war es leider nicht gemeint...
Also ich habe eine Formel a=b+c in einem Skript.
Mit dieser soll später irgendwas berechnet werden, nachdem den Variablen b und c ein Wert zugewiesen worden ist.
Nebenbei möchte ich aber die Erzeugungslogik von a abrufen und visualisieren. Hab zur Visualisierung mal ein kleines Bild zusammengezeichnet.
| Beschreibung: |
|
 Download |
| Dateiname: |
Beispiel.jpg |
| Dateigröße: |
5.44 KB |
| Heruntergeladen: |
520 mal |
|
|
|
|
|
|
|
Einstellungen und Berechtigungen
|
|
Du kannst Beiträge in dieses Forum schreiben. Du kannst auf Beiträge in diesem Forum antworten. Du kannst deine Beiträge in diesem Forum nicht bearbeiten. Du kannst deine Beiträge in diesem Forum nicht löschen. Du kannst an Umfragen in diesem Forum nicht mitmachen. Du kannst Dateien in diesem Forum posten Du kannst Dateien in diesem Forum herunterladen
|
|
Impressum
| Nutzungsbedingungen
| Datenschutz
| FAQ
| RSS
Hosted by:
Copyright © 2007 - 2026
goMatlab.de | Dies ist keine offizielle Website der Firma The Mathworks
MATLAB, Simulink, Stateflow, Handle Graphics, Real-Time Workshop, SimBiology, SimHydraulics, SimEvents, and xPC TargetBox are registered trademarks and The MathWorks, the L-shaped membrane logo, and Embedded MATLAB are trademarks of The MathWorks, Inc.
|
|