|
|
|
Verschachtelte for-Schleife |
|
| basti182 |

Forum-Newbie
|
 |
Beiträge: 2
|
 |
|
 |
Anmeldedatum: 11.07.13
|
 |
|
 |
Wohnort: Deutschland
|
 |
|
 |
Version: ---
|
 |
|
|
 |
|
Verfasst am: 11.07.2013, 21:16
Titel: Verschachtelte for-Schleife
|
 |
| |
 |
|
Hallo,
ich habe eine Frage Frage zu einer Verschachtelung einer for-Schleife. Ich muss dazu sagen, dass ich noch ein Anfänger in Matlab bin. Hier mein code:
Jeder Wert des Vektors m muss mit d1 multipliziert werden, d.h. man erhält erhält 3 neue Vektoren mit jeweils 8 Spalten.
Wie kann man den code so weit vereinfachen, dass man statt drei Schleifen nur noch eine hat?
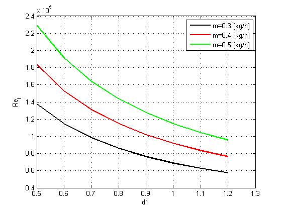
Und wie kann man diese 3 Vektoren dann am geschicktesten plotten, sodass eine Kurvenschar aus 3 Kurven entsteht, jeweils für einen Wert von m, wobei die Legende jeweils die eingegebenen Werte von m anzeigt (m sind verschiedene Werte von Massenströmen [Kg/h])?Die Werte von Re_i sollen jeweils über d1 dargestellt werden. Ich hoffe ich konnte mein Problem einigermaßen verständlich schildern und bin für eure Hilfe sehr dankbar. (Das Plottbeispiel ist angehängt)
Grüße basti182
| Beschreibung: |
|
 Download |
| Dateiname: |
Beispiel.jpg |
| Dateigröße: |
40.82 KB |
| Heruntergeladen: |
469 mal |
|
|
|
|
|
|
| denny |

Supporter
|
 |
Beiträge: 3.853
|
 |
|
 |
Anmeldedatum: 14.02.08
|
 |
|
 |
Wohnort: Ulm
|
 |
|
 |
Version: R2012b
|
 |
|
|
 |
|
Verfasst am: 12.07.2013, 12:47
Titel:
|
 |
Hallo
wenn du dir die Drei schleifen anschaust, kannst du doch die Ähnlichkeiten sehen?
Alle Schleifen laufen den gleichen Bereich ab (Schleifenkopf ist identisch),
deswegen werden die Zählvariablen i,p,q gleiche Werte haben.
Also kann man doch für alle 3 die gleiche Zählvariable nutzen,
wenn du nun in die 3 Schleifen diese Zählvariablen auf gleichen Namen veränderst, siehst du plötzlich, dass man dass auch einfach in einer schleife schreiben kann.
so sieht das Endresult aus:
Apropos man braucht in Matlab nicht immer Schleifen, das Matlab ist eine Matrix optimierte Sprache ist, und das könnte man dann so scheiben
|
|
|
|
| basti182 |
Themenstarter

Forum-Newbie
|
 |
Beiträge: 2
|
 |
|
 |
Anmeldedatum: 11.07.13
|
 |
|
 |
Wohnort: Deutschland
|
 |
|
 |
Version: ---
|
 |
|
|
 |
|
Verfasst am: 15.07.2013, 22:53
Titel:
|
 |
Vielen Dank für deine schnelle Hilfe. Jetzt habe ich noch eine Frage. Ich möchte den Wertebreich für den m-Vektor beliebig eingeben können, sodass man bei der Berechnung von Re nicht mehr genau so viele Ausdrücke hinschreiben muss, wie der Vektor Spalten hat.
Angenommen der Bereicht von d1 ändert sich nicht und ich möchte einen m-Bereich von 3 bis 100 in einer-Schritten.
Gibt es da eine Möglichkeit, dass man statt den 100 Zeilen dann mit einer auskommt?
Grüße
Basti
|
|
|
|
| Winkow |

Moderator
|
 |
Beiträge: 3.842
|
 |
|
 |
Anmeldedatum: 04.11.11
|
 |
|
 |
Wohnort: Dresden
|
 |
|
 |
Version: R2014a 2015a
|
 |
|
|
 |
|
Verfasst am: 15.07.2013, 23:15
Titel:
|
 |
for schleife mit Re1 als cellarray würde mir da spontan einfallen
oder so
|
|
|
|
|
|
|
Einstellungen und Berechtigungen
|
|
Du kannst Beiträge in dieses Forum schreiben. Du kannst auf Beiträge in diesem Forum antworten. Du kannst deine Beiträge in diesem Forum nicht bearbeiten. Du kannst deine Beiträge in diesem Forum nicht löschen. Du kannst an Umfragen in diesem Forum nicht mitmachen. Du kannst Dateien in diesem Forum posten Du kannst Dateien in diesem Forum herunterladen
|
|
Impressum
| Nutzungsbedingungen
| Datenschutz
| FAQ
| RSS
Hosted by:
Copyright © 2007 - 2026
goMatlab.de | Dies ist keine offizielle Website der Firma The Mathworks
MATLAB, Simulink, Stateflow, Handle Graphics, Real-Time Workshop, SimBiology, SimHydraulics, SimEvents, and xPC TargetBox are registered trademarks and The MathWorks, the L-shaped membrane logo, and Embedded MATLAB are trademarks of The MathWorks, Inc.
|
|