|
|
|
ZScore berechnen mit Sigma und My |
|
| Generic1 |

Forum-Anfänger
|
 |
Beiträge: 18
|
 |
|
 |
Anmeldedatum: 12.10.11
|
 |
|
 |
Wohnort: ---
|
 |
|
 |
Version: ---
|
 |
|
|
 |
|
Verfasst am: 02.12.2012, 07:48
Titel: ZScore berechnen mit Sigma und My
|
 |
Hallo,
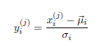
ich muss in der Schule den zscore mit Matlab berechnen (Die Formel steht im Anhang), ich weiß aber jetzt ehrlich gesagt nicht, wie ich das machen soll bzw. wie die Befehle heißen für Sigma und My.
Ich habs jetzt mal so versucht:
Weiß jemand wie man das wirklich macht? mean glaub ich passt ja noch aber das sqrt passt glaub ich nicht mehr.
Wäre dankbar für eure Hilfe.
lg
Generic1
| Beschreibung: |
|
 Download |
| Dateiname: |
zscore.PNG |
| Dateigröße: |
2.08 KB |
| Heruntergeladen: |
469 mal |
|
|
|
|
|
|
| Harald |

Forum-Meister
|
 |
Beiträge: 24.502
|
 |
|
 |
Anmeldedatum: 26.03.09
|
 |
|
 |
Wohnort: Nähe München
|
 |
|
 |
Version: ab 2017b
|
 |
|
|
 |
|
Verfasst am: 02.12.2012, 11:04
Titel:
|
 |
Hallo,
im Nenner sollte wohl die Varianz stehen, also var statt sqrt.
Das gibt es übrigens auch als fertige Funktion zscore.
Grüße,
Harald
|
|
|
|
| blub |
Gast
|
 |
Beiträge: ---
|
 |
|
 |
Anmeldedatum: ---
|
 |
|
 |
Wohnort: ---
|
 |
|
 |
Version: ---
|
 |
|
|
 |
|
Verfasst am: 02.12.2012, 14:34
Titel:
|
 |
| Harald hat Folgendes geschrieben: |
Hallo,
im Nenner sollte wohl die Varianz stehen, also var statt sqrt.
Das gibt es übrigens auch als fertige Funktion zscore.
Grüße,
Harald |
die info ist zwar mit verweis auf der implementierten funktion zscore hinfällig, aber:
im nenner muss die stdabweichung stehen, sqrt aus var. oder halt std.
|
|
|
|
|
|
|
Einstellungen und Berechtigungen
|
|
Du kannst Beiträge in dieses Forum schreiben. Du kannst auf Beiträge in diesem Forum antworten. Du kannst deine Beiträge in diesem Forum nicht bearbeiten. Du kannst deine Beiträge in diesem Forum nicht löschen. Du kannst an Umfragen in diesem Forum nicht mitmachen. Du kannst Dateien in diesem Forum posten Du kannst Dateien in diesem Forum herunterladen
|
|
Impressum
| Nutzungsbedingungen
| Datenschutz
| FAQ
| RSS
Hosted by:
Copyright © 2007 - 2026
goMatlab.de | Dies ist keine offizielle Website der Firma The Mathworks
MATLAB, Simulink, Stateflow, Handle Graphics, Real-Time Workshop, SimBiology, SimHydraulics, SimEvents, and xPC TargetBox are registered trademarks and The MathWorks, the L-shaped membrane logo, and Embedded MATLAB are trademarks of The MathWorks, Inc.
|
|