|
|
|
Zweifache Summe einer Funktion mit 2 Variablen |
|
| nfmaroc |

Forum-Newbie
|
 |
Beiträge: 4
|
 |
|
 |
Anmeldedatum: 24.10.13
|
 |
|
 |
Wohnort: HH
|
 |
|
 |
Version: ---
|
 |
|
|
 |
|
Verfasst am: 24.10.2013, 12:58
Titel: Zweifache Summe einer Funktion mit 2 Variablen
|
 |
| |
 |
|
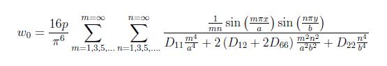
Hallo ihr lieben,
Ich habe folgendes Problem, ich muss für meine Abschlussarbeit eine Formel mit zweifacher Summe von einer Funktion die von 2 variablen(x &y) abhängt programmieren (w0(x,y)) und diese dann noch ploten. Ich sitze schon seit 3 Tagen dran und bekomme es einfach nicht hin.
D11, D12, D22 und D66 sind konstante und bekannt.
Das x soll einen Wertebereich von 0 bis a haben. ( amax=60, das a soll variabel bleiben)
Das y soll einen Wertebereich von 0 bis b haben. ( bmax=20, das b soll ebenso variabel bleiben)
das m und n soll von 1 bis 9 in 2schritten laufen, sprich m = n =[1 3 5 7 9]
also nicht bis unendlich wie die Formel zeigt.
Ich habe mich natürlich schon informiert und auch versucht aber leider klappte es nicht. so sieht mein code bisher aus :
bitte um HILFE danke schonmal im voraus
| Beschreibung: |
| die besagte Formel sieht so aus |
|
 Download |
| Dateiname: |
Formel.JPG |
| Dateigröße: |
8.8 KB |
| Heruntergeladen: |
361 mal |
_________________
|
|
|
|
|
|
| Andreas Goser |

Forum-Meister
|
 |
Beiträge: 3.654
|
 |
|
 |
Anmeldedatum: 04.12.08
|
 |
|
 |
Wohnort: Ismaning
|
 |
|
 |
Version: 1.0
|
 |
|
|
 |
|
Verfasst am: 24.10.2013, 13:45
Titel:
|
 |
D.h. nun gilt es die Zeile so zu zerlegen, dass man sieht exakt welcher Term das auslöst.
Vermutlich ein Fall wo .* statt * gemeint ist.
Andreas
|
|
|
|
| nfmaroc |
Themenstarter

Forum-Newbie
|
 |
Beiträge: 4
|
 |
|
 |
Anmeldedatum: 24.10.13
|
 |
|
 |
Wohnort: HH
|
 |
|
 |
Version: ---
|
 |
|
|
 |
|
Verfasst am: 24.10.2013, 13:54
Titel:
|
 |
Danke für die schnelle Antwort, habe es schon geändert und es funk auch. der Punkt .* muss nach dem 1. sinus terme gesetzt werden .
Mein Problem ist jetzt der Plot, der zeichnet mir ein komisches Gebilde an. Ich möchte gerne jetzt davon ein 2D und 3D Plot erstellen... (2D durch die Mitte).
Ps: um es besser zu verstehen, das ist die Durchbiegung einer Platte und ich möchte gerne die mittlere Durchbiegung der Platte im 2D darstellen.
DANKE NOCHMALS!!!
_________________
|
|
|
|
| Andreas Goser |

Forum-Meister
|
 |
Beiträge: 3.654
|
 |
|
 |
Anmeldedatum: 04.12.08
|
 |
|
 |
Wohnort: Ismaning
|
 |
|
 |
Version: 1.0
|
 |
|
|
 |
|
Verfasst am: 04.11.2013, 09:29
Titel:
|
 |
Bitte in solchen Fällen Daten und Bilder hinzufügen.
Andreas
|
|
|
|
|
|
|
Einstellungen und Berechtigungen
|
|
Du kannst Beiträge in dieses Forum schreiben. Du kannst auf Beiträge in diesem Forum antworten. Du kannst deine Beiträge in diesem Forum nicht bearbeiten. Du kannst deine Beiträge in diesem Forum nicht löschen. Du kannst an Umfragen in diesem Forum nicht mitmachen. Du kannst Dateien in diesem Forum posten Du kannst Dateien in diesem Forum herunterladen
|
|
Impressum
| Nutzungsbedingungen
| Datenschutz
| FAQ
| RSS
Hosted by:
Copyright © 2007 - 2026
goMatlab.de | Dies ist keine offizielle Website der Firma The Mathworks
MATLAB, Simulink, Stateflow, Handle Graphics, Real-Time Workshop, SimBiology, SimHydraulics, SimEvents, and xPC TargetBox are registered trademarks and The MathWorks, the L-shaped membrane logo, and Embedded MATLAB are trademarks of The MathWorks, Inc.
|
|