|
|
| GeorgSchu |

Forum-Newbie
|
 |
Beiträge: 2
|
 |
|
 |
Anmeldedatum: 15.01.18
|
 |
|
 |
Wohnort: ---
|
 |
|
 |
Version: ---
|
 |
|
|
 |
|
Verfasst am: 15.01.2018, 12:21
Titel: Zweimassenschwinger
|
 |
Hallo Leute,
ich habe einen Zweimassenschwinger im Simulink.
Das Problem fängt schon damit an, dass ich auf einer Skala von 0 bis 10 mich auf Niveau 1 ezüglich Simulink/Matlab Kentnisse einschätzen würde.
Nun soll ich die analytische DGL und anschließend das ganze im Zustandsraum darstellen. Weiters sollen die Ergebnisse validiert werden.
Zum Schluss gilt es noch zu klären: welche Lösung der DGL abklingt und wie die Dauer abgeschätzt werden kann.
Die Masse kann frei gewählt werden!
Kann mir jemand dabei helfen?
Im Anhang befindet sich die Simulink Datei.
Danke im Voraus
LG Georg
| Beschreibung: |
|
 Download |
| Dateiname: |
Zweimassenschwinger.slx |
| Dateigröße: |
29.59 KB |
| Heruntergeladen: |
732 mal |
|
|
|
|
|
|
| GeorgSchu |
Themenstarter

Forum-Newbie
|
 |
Beiträge: 2
|
 |
|
 |
Anmeldedatum: 15.01.18
|
 |
|
 |
Wohnort: ---
|
 |
|
 |
Version: ---
|
 |
|
|
 |
|
Verfasst am: 16.01.2018, 10:50
Titel:
|
 |
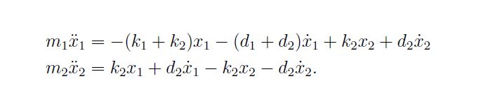
Scheint wohl etwas knifflig das ganze, da keiner eine Idee hat!?
Anbei die DiffGlg's und das freigeschnittene System als Bild. Wie bringe ich das aber nun in den Zustandsraum?
LG Georg
| Beschreibung: |
|
 Download |
| Dateiname: |
Diff Gleichungen.JPG |
| Dateigröße: |
17.8 KB |
| Heruntergeladen: |
813 mal |
| Beschreibung: |
|
 Download |
| Dateiname: |
Freigeschnitten.JPG |
| Dateigröße: |
41.95 KB |
| Heruntergeladen: |
766 mal |
|
|
|
|
| Mr. Mojo Risin |

Forum-Newbie
|
 |
Beiträge: 2
|
 |
|
 |
Anmeldedatum: 14.02.18
|
 |
|
 |
Wohnort: ---
|
 |
|
 |
Version: R2015b
|
 |
|
|
 |
|
Verfasst am: 14.02.2018, 10:18
Titel:
|
 |
Hi Georg,
also ich bastel aktuell auch am ZMS und vielleicht könnten wir uns austauschen.
Die Frage wäre also, ob du noch in der Sache aktiv bist.
beste Grüße
|
|
|
|
|
|
|
Einstellungen und Berechtigungen
|
|
Du kannst Beiträge in dieses Forum schreiben. Du kannst auf Beiträge in diesem Forum antworten. Du kannst deine Beiträge in diesem Forum nicht bearbeiten. Du kannst deine Beiträge in diesem Forum nicht löschen. Du kannst an Umfragen in diesem Forum nicht mitmachen. Du kannst Dateien in diesem Forum posten Du kannst Dateien in diesem Forum herunterladen
|
|
Impressum
| Nutzungsbedingungen
| Datenschutz
| FAQ
| RSS
Hosted by:
Copyright © 2007 - 2026
goMatlab.de | Dies ist keine offizielle Website der Firma The Mathworks
MATLAB, Simulink, Stateflow, Handle Graphics, Real-Time Workshop, SimBiology, SimHydraulics, SimEvents, and xPC TargetBox are registered trademarks and The MathWorks, the L-shaped membrane logo, and Embedded MATLAB are trademarks of The MathWorks, Inc.
|
|