WICHTIG: Der Betrieb von goMatlab.de wird privat finanziert fortgesetzt. - Mehr Infos...

Mein MATLAB Forum - goMatlab.de

Mein MATLAB Forum

 
Gast > Registrieren       Autologin?   

Partner:




Forum
      Option
[Erweitert]
  • Diese Seite per Mail weiterempfehlen
     


Gehe zu:  
Neues Thema eröffnen Neue Antwort erstellen

> suche Matlab-Formeln zu Gleichungen im Anhang

 

stoxxii

Gast


Beiträge: ---
Anmeldedatum: ---
Wohnort: ---
Version: ---
     Beitrag Verfasst am: 08.02.2016, 16:09     Titel: > suche Matlab-Formeln zu Gleichungen im Anhang
  Antworten mit Zitat      
Halloo User-Gemeinde,
Halloo Admins,

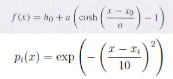
ich bin über 2 Gleichungen gestoßen, die zum Thema
"KettenLinien und Bogenlängen" gehören ...

Im ".jpg" im Anhang sind beide abgebildet ...

Könnt ihr mir bitte weiterhelfen, wie man diese in Matlab umsetzen
kann ??? Rolling Eyes

Ich weiß nicht , was ich als jeweilige x , xo und xi nehmen soll ??? Crying or Very sad

Danke vorab für Zeit & Mühen, Tips & tricks...
beste grüße
stoxxii

_Formel - Plot gesucht__.JPG
 Beschreibung:

Download
 Dateiname:  _Formel - Plot gesucht__.JPG
 Dateigröße:  7.44 KB
 Heruntergeladen:  570 mal


Jan S
Moderator

Moderator


Beiträge: 11.057
Anmeldedatum: 08.07.10
Wohnort: Heidelberg
Version: 2009a, 2016b
     Beitrag Verfasst am: 08.02.2016, 22:02     Titel: Re: > suche Matlab-Formeln zu Gleichungen im Anhang
  Antworten mit Zitat      
Hallo stoxxii,

Was die Variablen bedeuten, sollte dort beschrieben sein, wo Du die Gleichungen gefunden hast. Was Du genau für die x_i einsetzen musst, hängt auch noch von Deinem genauen Problem ab. Das kann man nicht erraten.

Gruß, Jan
Private Nachricht senden Benutzer-Profile anzeigen
 
stoxxii

Gast


Beiträge: ---
Anmeldedatum: ---
Wohnort: ---
Version: ---
     Beitrag Verfasst am: 09.02.2016, 10:40     Titel: >> nicht so wirklich,
  Antworten mit Zitat      
Halloo Jan,

ich weiß, ich habs unglücklich formuliert ...
Ich dachte, ihr könnt einfach nur mal so ein fiktiven Datensatz simulieren
x = 0 : 100 oder soo ...

bei der oberen Formel könnte man z.B. das " ho" weglassen ...

ich habe das eine Script gefunden, wo ich die eine Formal her habe

http://www.mathematik-online.org

Ich habe den Script-Auszug in .pdf angehängt...

Die Interpolation zur Tour de France-Etappe habe ich mit interp1 und spline geradeso hingekriegt

Code:
X = [0 4  11 18.5 24.5 33.5  42 50];        % mit Auge aus Bild abgelesen
Y = [335  350  640 355 210  250 220 175];    % dasselbe
x = 0: 0.5:50;
% ::::::::::::::::::
y   = interp1(X, Y, x, 'spline');
hp = plot(X, Y, 'o', x, y, 'Linewidth', 2,'MarkerSize', 10) ;
 

vielleicht kannst du mir nun bitte diesen Zusammenhang bei der Interpolation
mit der unteren rot dargestellten Funktion in der Grafik etwas erklären ...
und ein Formel-Ansatz in Matlab zeigen ... Rolling Eyes

Vielen Dank für deine Mühen vorab...
grüße
stoxxii

_Bsp.__Tour de France - Interpolation__.pdf
 Beschreibung:

Download
 Dateiname:  _Bsp.__Tour de France - Interpolation__.pdf
 Dateigröße:  125.39 KB
 Heruntergeladen:  533 mal
 
Neues Thema eröffnen Neue Antwort erstellen



Einstellungen und Berechtigungen
Beiträge der letzten Zeit anzeigen:

Du kannst Beiträge in dieses Forum schreiben.
Du kannst auf Beiträge in diesem Forum antworten.
Du kannst deine Beiträge in diesem Forum nicht bearbeiten.
Du kannst deine Beiträge in diesem Forum nicht löschen.
Du kannst an Umfragen in diesem Forum nicht mitmachen.
Du kannst Dateien in diesem Forum posten
Du kannst Dateien in diesem Forum herunterladen
.





 Impressum  | Nutzungsbedingungen  | Datenschutz | FAQ | goMatlab RSS Button RSS

Hosted by:


Copyright © 2007 - 2026 goMatlab.de | Dies ist keine offizielle Website der Firma The Mathworks

MATLAB, Simulink, Stateflow, Handle Graphics, Real-Time Workshop, SimBiology, SimHydraulics, SimEvents, and xPC TargetBox are registered trademarks and The MathWorks, the L-shaped membrane logo, and Embedded MATLAB are trademarks of The MathWorks, Inc.